|
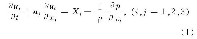
微分形式的理想流体动量方程或运动方程。在理想流体中,忽略黏滞性作用,所以切应力等于零,作用在流体上的力只是质量力和压力。根据牛顿第二定律建立流体微团所受的力和其加速度之间的关系式,如图所示,得到欧拉方程在直角坐标系中的形式为

式中,对于一项中两次出现的脚标‘j’表示从1到3求和,i=1,2,3分别对应xi坐标轴方向;Xi为xi坐标轴方向的单位质量力;p为压强;ui为在xi坐标轴的分速度。这是瑞士数学家、力学家L.欧拉于1755年首先提出的。欧拉方程表达了流体的压强、单位质量力和加速度之间的关系。它与连续方程组成微分方程组,为求解压强和流速场建立了必要而充分的条件。

微六面体示意图
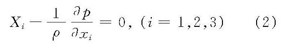
当流体处于恒定流状态,作用于流体的质量力只是重力的情况下,沿流线对欧拉方程进行积分,可以得到水力学中普遍应用的伯努利方程。当流体处于平衡状态时,欧拉方程的形式为

其物理意义是:在平衡状态下,流体静压强沿某一方向的变化率与该方向的单位质量力相等。欧拉方程的建立,为研究静止的和流动的理想流体问题奠定了重要的理论基础。
|